Официальное опубликование правовых актов
ОФИЦИАЛЬНОЕ ОПУБЛИКОВАНИЕ
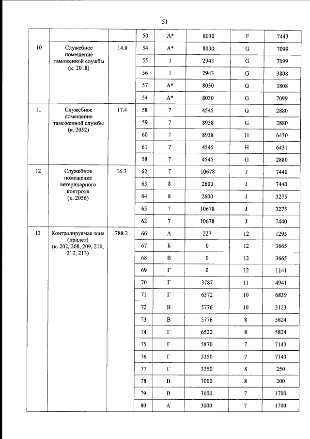
Приказ Министерства транспорта Российской Федерации от 24.07.2018 № 279
"Об открытии дооснащенного воздушного грузо-пассажирского постоянного многостороннего пункта пропуска через государственную границу Российской Федерации в международном аэропорту Москва (Внуково) в целях увеличения его пропускной способности, реконструированного в пределах Терминала А"
(Зарегистрирован 07.08.2018 № 51803)
Номер опубликования: 0001201808070018
Дата опубликования: 07.08.2018
Страница №51 из 75:
Увеличить