Официальное опубликование правовых актов
ОФИЦИАЛЬНОЕ ОПУБЛИКОВАНИЕ
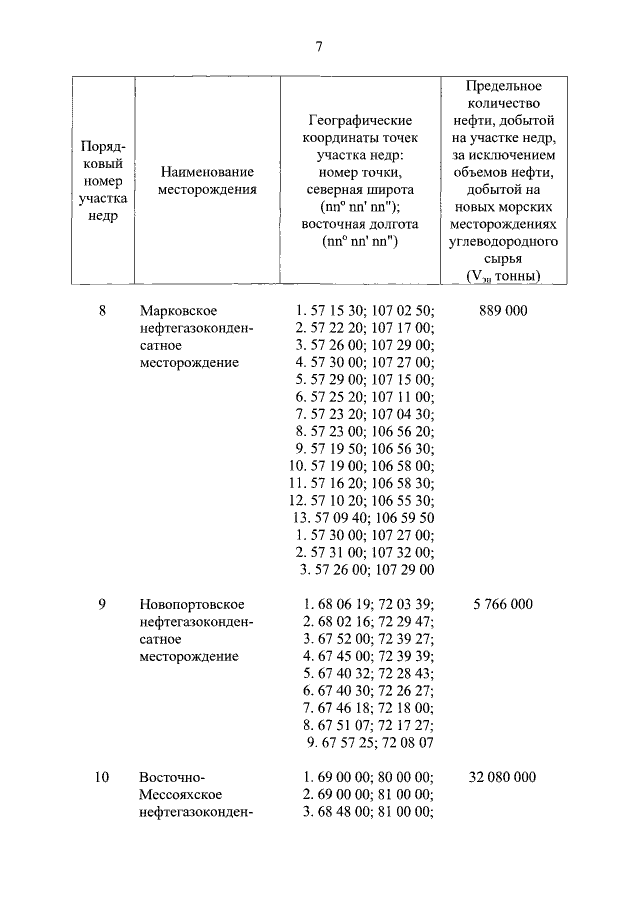
Федеральный закон от 03.08.2018 № 305-ФЗ
"О внесении изменений в статью 3-1 Закона Российской Федерации "О таможенном тарифе"
Номер опубликования: 0001201808030078
Дата опубликования: 03.08.2018
Страница №7 из 16:
Увеличить