Официальное опубликование правовых актов
ОФИЦИАЛЬНОЕ ОПУБЛИКОВАНИЕ
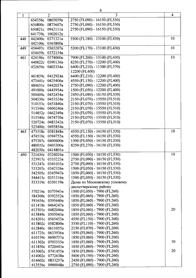
Приказ Министерства транспорта Российской Федерации от 09.07.2018 № 259
"О внесении изменений в маршруты обслуживания воздушного движения, утвержденные приказом Министерства транспорта Российской Федерации от 11 января 2018 г. № 4"
(Зарегистрирован 31.07.2018 № 51740)
Номер опубликования: 0001201807310023
Дата опубликования: 31.07.2018
Страница №6 из 37:
Увеличить