Официальное опубликование правовых актов
ОФИЦИАЛЬНОЕ ОПУБЛИКОВАНИЕ
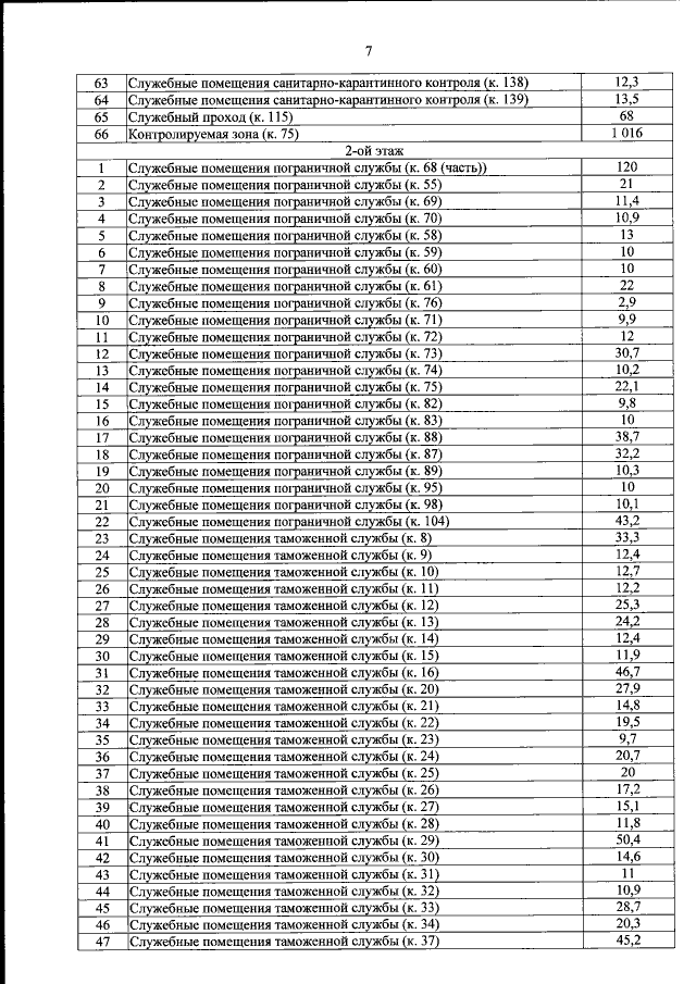
Приказ Министерства транспорта Российской Федерации от 06.07.2018 № 258
"Об открытии воздушного грузо-пассажирского постоянного многостороннего пункта пропуска через государственную границу Российской Федерации в международном аэропорту Владивосток (Кневичи), реконструированного в пределах помещений зала для официальных лиц и делегаций терминала "А" аэровокзального комплекса"
(Зарегистрирован 27.07.2018 № 51726)
Номер опубликования: 0001201807300094
Дата опубликования: 30.07.2018
Страница №7 из 9:
Увеличить