Официальное опубликование правовых актов
ОФИЦИАЛЬНОЕ ОПУБЛИКОВАНИЕ
Приказ Министерства транспорта Российской Федерации от 04.06.2018 № 221
"Об открытии воздушного грузо-пассажирского постоянного многостороннего пункта пропуска через государственную границу Российской Федерации в международном аэропорту Москва (Шереметьево), реконструированного в пределах терминала В и межтерминального перехода между северным терминальным комплексом и южным терминальным комплексом аэропорта Шереметьево (подземное межтерминальное сообщение)"
(Зарегистрирован 27.06.2018 № 51446)
Номер опубликования: 0001201806280028
Дата опубликования: 28.06.2018
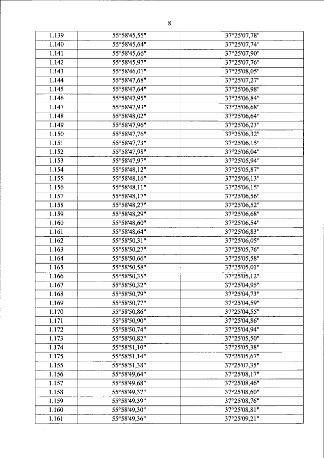
Страница №8 из 20:
Увеличить