Официальное опубликование правовых актов
ОФИЦИАЛЬНОЕ ОПУБЛИКОВАНИЕ
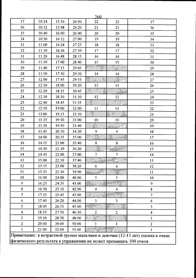
Приказ Министерства спорта Российской Федерации от 09.04.2018 № 325
"О внесении изменений в приказ Минспорта России от 13 ноября 2017 г. № 990 "Об утверждении Единой всероссийской спортивной классификации (виды спорта не включенные в программы Игр Олимпиады, Олимпийских зимних игр, а также не являющиеся военно-прикладными или служебно-прикладными видами спорта)"
(Зарегистрирован 03.05.2018 № 50948)
Номер опубликования: 0001201805030069
Дата опубликования: 03.05.2018
Страница №260 из 525:
Увеличить