Официальное опубликование правовых актов
ОФИЦИАЛЬНОЕ ОПУБЛИКОВАНИЕ
Приказ Федеральной службы войск национальной гвардии Российской Федерации от 02.04.2018 № 112
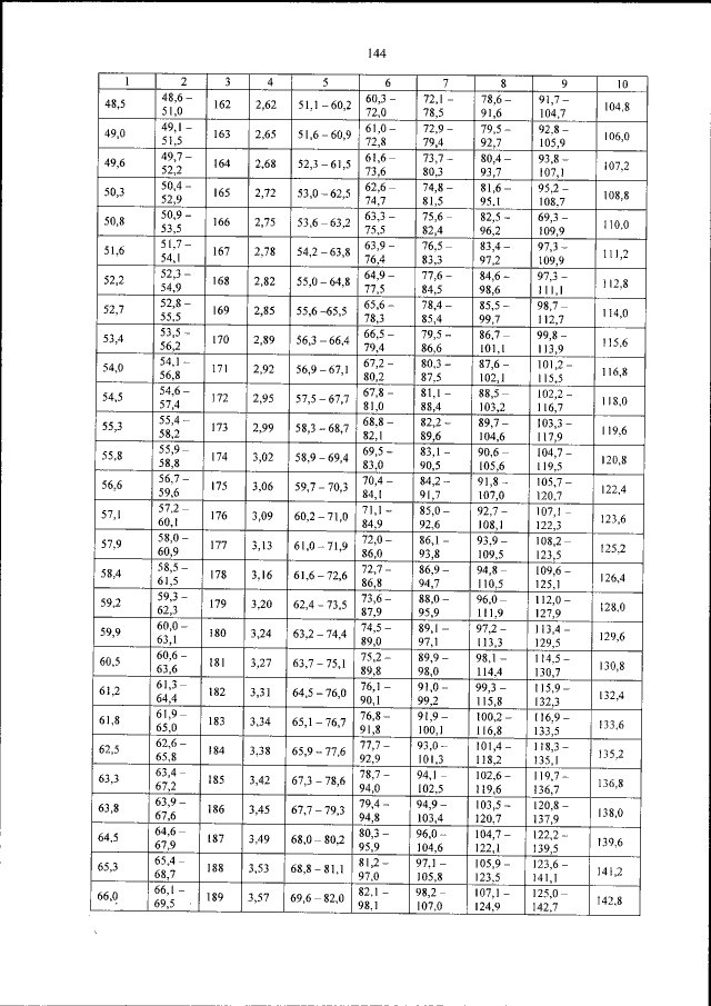
"Об утверждении требований к состоянию здоровья граждан, поступающих на военную службу (службу), военнослужащих и лиц, проходящих службу в войсках национальной гвардии Российской Федерации и имеющих специальные звания полиции, а также Перечня дополнительных обязательных диагностических исследований, проводимых до начала медицинского освидетельствования граждан, поступающих на военную службу по контракту в войска национальной гвардии Российской Федерации, военнослужащих, проходящих военную службу по контракту в войсках национальной гвардии Российской Федерации, граждан, поступающих на службу в войска национальной гвардии Российской Федерации, лиц, проходящих службу в войсках национальной гвардии Российской Федерации и имеющих специальные звания полиции"
(Зарегистрирован 03.05.2018 № 50954)
Номер опубликования: 0001201805030068
Дата опубликования: 03.05.2018
Страница №144 из 153:
Увеличить