Официальное опубликование правовых актов
ОФИЦИАЛЬНОЕ ОПУБЛИКОВАНИЕ
Приказ Министерства иностранных дел Российской Федерации от 13.03.2018 № 3507
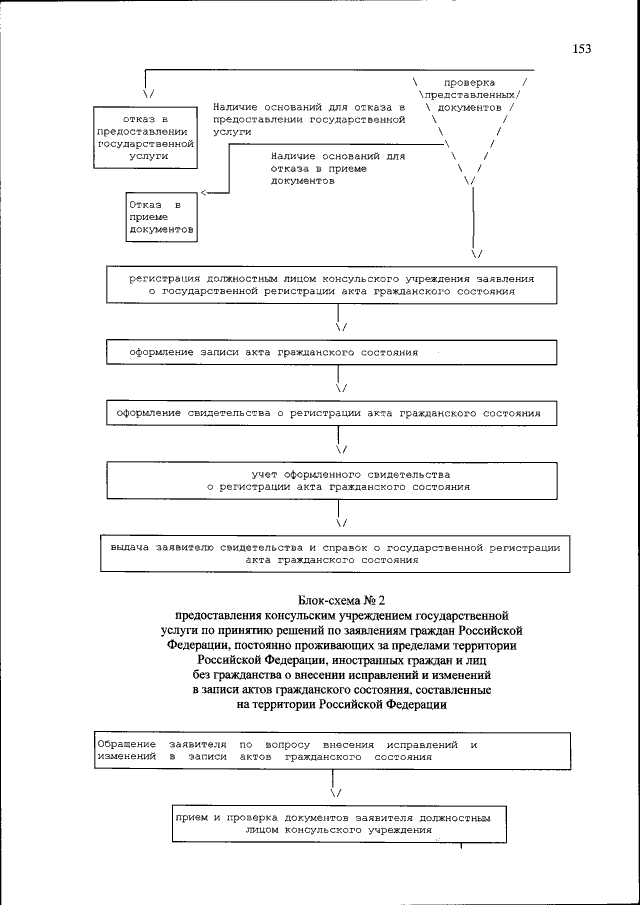
"Об утверждении Административного регламента Министерства иностранных дел Российской Федерации по предоставлению государственной услуги по государственной регистрации актов гражданского состояния граждан Российской Федерации, проживающих за пределами территории Российской Федерации"
(Зарегистрирован 02.04.2018 № 50586)
Номер опубликования: 0001201804030037
Дата опубликования: 03.04.2018
Страница №155 из 158:
Увеличить