Официальное опубликование правовых актов
ОФИЦИАЛЬНОЕ ОПУБЛИКОВАНИЕ
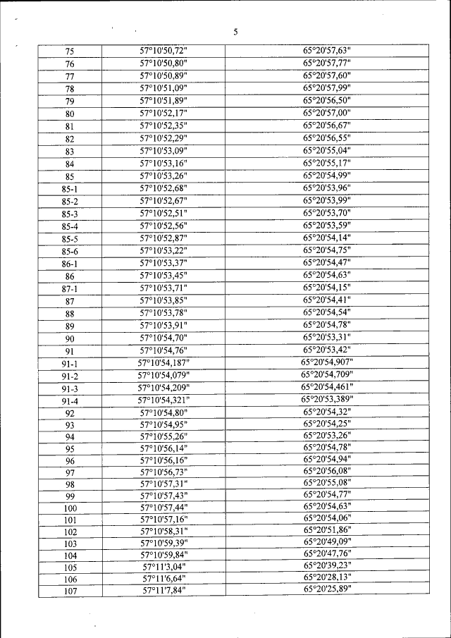
Приказ Министерства транспорта Российской Федерации от 27.12.2017 № 541
"Об открытии воздушного грузо-пассажирского постоянного многостороннего пункта пропуска через государственную границу Российской Федерации в международном аэропорту Тюмень (Рощино) (Тюменская область)"
(Зарегистрирован 12.03.2018 № 50301)
Номер опубликования: 0001201803130027
Дата опубликования: 13.03.2018
Страница №5 из 25:
Увеличить