Официальное опубликование правовых актов
ОФИЦИАЛЬНОЕ ОПУБЛИКОВАНИЕ
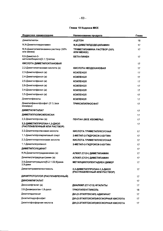
Поправки 2012 года к Международному кодексу постройки и оборудования судов, перевозящих опасные химические грузы наливом (Кодекс МКХ)
(вступили в силу для Российской Федерации 1 июня 2014 года)
Номер опубликования: 0001201712220029
Дата опубликования: 22.12.2017
Страница №63 из 112:
Увеличить