Официальное опубликование правовых актов
ОФИЦИАЛЬНОЕ ОПУБЛИКОВАНИЕ
Приказ Федеральной службы исполнения наказаний от 04.09.2017 № 875
"Об утверждении нормативных затрат на обеспечение функций ФСИН России, территориальных органов ФСИН России и федеральных казенных учреждений уголовно-исполнительной системы в части разработки и реализации мер по обеспечению пожарной безопасности, предупреждению и тушению пожаров на объектах учреждений и органов уголовно-исполнительной системы"
Номер опубликования: 0001201711220007
Дата опубликования: 22.11.2017
Страница №6 из 14:
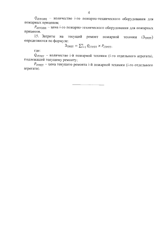
Увеличить