Официальное опубликование правовых актов
ОФИЦИАЛЬНОЕ ОПУБЛИКОВАНИЕ
Постановление Главного государственного санитарного врача Российской Федерации от 24.07.2017 № 100
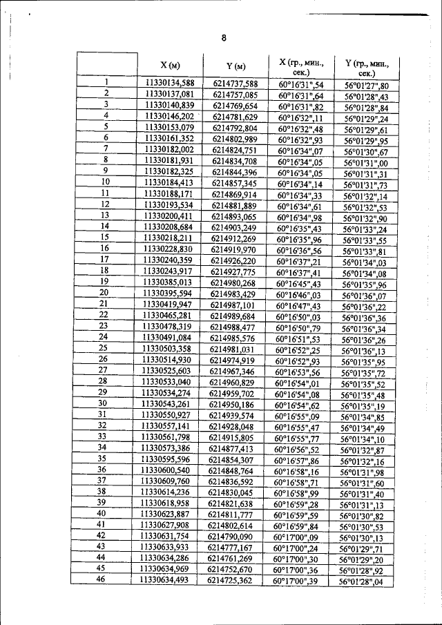
"Об установлении размера санитарно-защитной зоны имущественных комплексов: ОАО "Уфалейникель" (основная промышленная площадка № 1, включая шлаковый отвал и территорию базы отдела капитального строительства (ОКСа)‚ площадка № 3 (цех внутризаводского транспорта (ВЗТ); филиала "Южно-Уральское производственное управление" ОАО "Уралэнергоцветмет", расположенного на основной промышленной площадке № 1 ОАО "Уфалейникель", на территории г. Верхний Уфалей Челябинской области"
(Зарегистрирован 21.08.2017 № 47869)
Номер опубликования: 0001201708210031
Дата опубликования: 21.08.2017
Страница №8 из 10:
Увеличить