Официальное опубликование правовых актов
ОФИЦИАЛЬНОЕ ОПУБЛИКОВАНИЕ
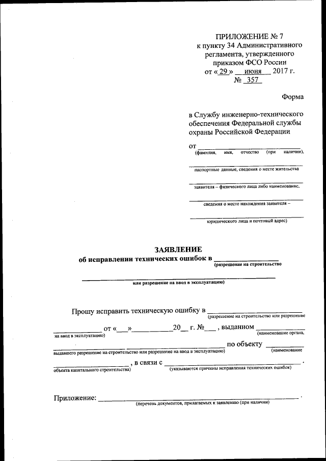
Приказ Федеральной службы охраны Российской Федерации от 29.06.2017 № 357
"Об утверждении Административного регламента предоставления Федеральной службой охраны Российской Федерации государственной услуги по выдаче разрешений на строительство объектов капитального строительства, строительство и реконструкцию которых планируется осуществлять в границах особо охраняемых природных территорий федерального значения, находящихся в ведении ФСО России, и выдаче разрешений на ввод в эксплуатацию указанных объектов"
(Зарегистрирован 03.08.2017 № 47666)
Номер опубликования: 0001201708040022
Дата опубликования: 04.08.2017
Страница №80 из 81:
Увеличить