Официальное опубликование правовых актов
ОФИЦИАЛЬНОЕ ОПУБЛИКОВАНИЕ
Приказ Министерства природных ресурсов и экологии Российской Федерации от 27.06.2017 № 323
"Об утверждении Положения о Шорском национальном парке"
(Зарегистрирован 25.07.2017 № 47526)
Номер опубликования: 0001201707270001
Дата опубликования: 27.07.2017
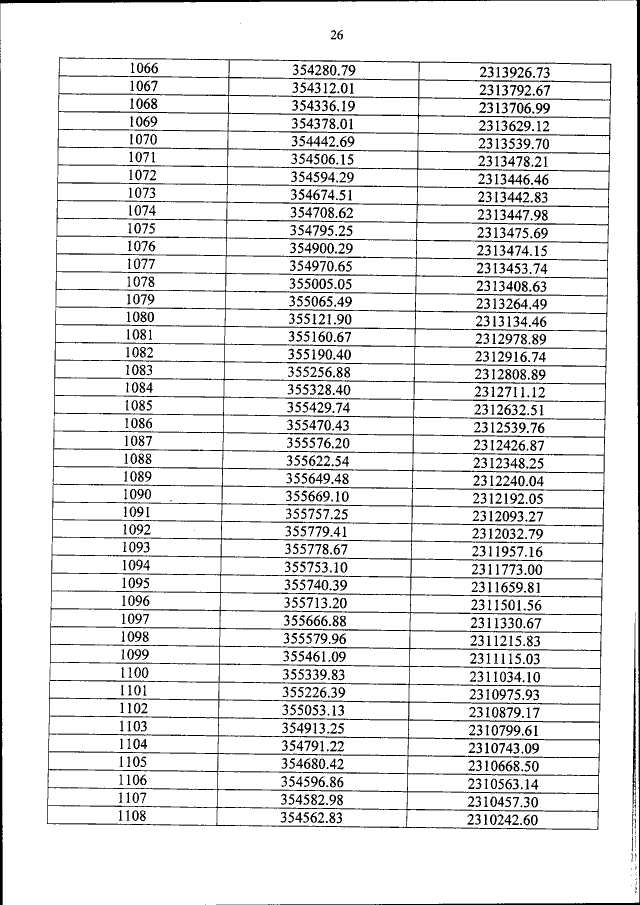
Страница №41 из 132:
Увеличить