Официальное опубликование правовых актов
ОФИЦИАЛЬНОЕ ОПУБЛИКОВАНИЕ
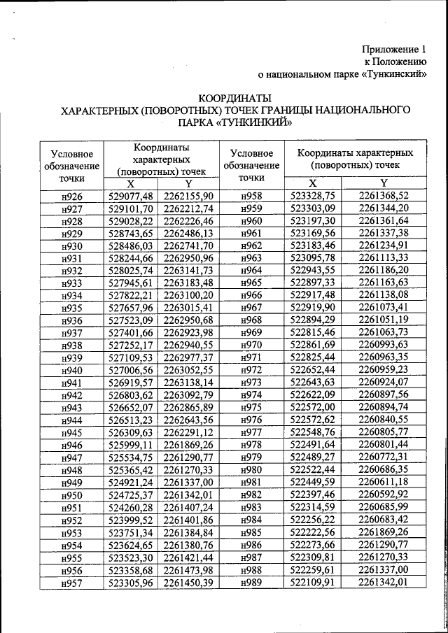
Приказ Министерства природных ресурсов и экологии Российской Федерации от 12.05.2017 № 229
"Об утверждении Положения о национальном парке "Тункинский"
(Зарегистрирован 20.07.2017 № 47485)
Номер опубликования: 0001201707210048
Дата опубликования: 21.07.2017
Страница №11 из 54:
Увеличить