Официальное опубликование правовых актов
ОФИЦИАЛЬНОЕ ОПУБЛИКОВАНИЕ
Приказ Федеральной службы охраны Российской Федерации от 23.06.2017 № 352
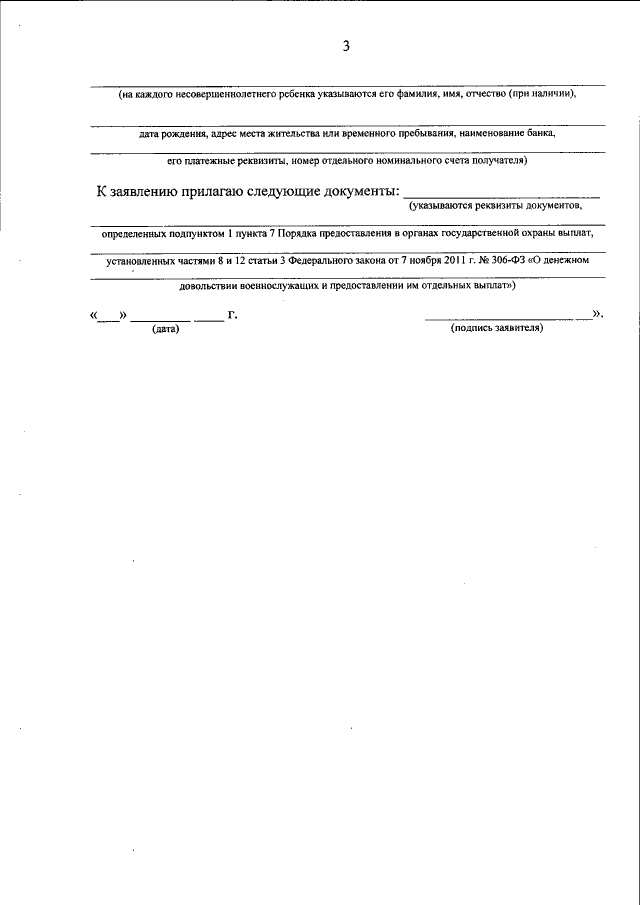
"О внесении изменений в приказ ФСО России от 25 июля 2012 г. № 376 "Об утверждении Порядка предоставления в органах государственной охраны выплат, установленных частями 8 и 12 статьи 3 Федерального закона от 7 ноября 2011 г. № 306-ФЗ "О денежном довольствии военнослужащих и предоставлении им отдельных выплат"
(Зарегистрирован 20.07.2017 № 47482)
Номер опубликования: 0001201707210024
Дата опубликования: 21.07.2017
Страница №4 из 4:
Увеличить