Официальное опубликование правовых актов
ОФИЦИАЛЬНОЕ ОПУБЛИКОВАНИЕ
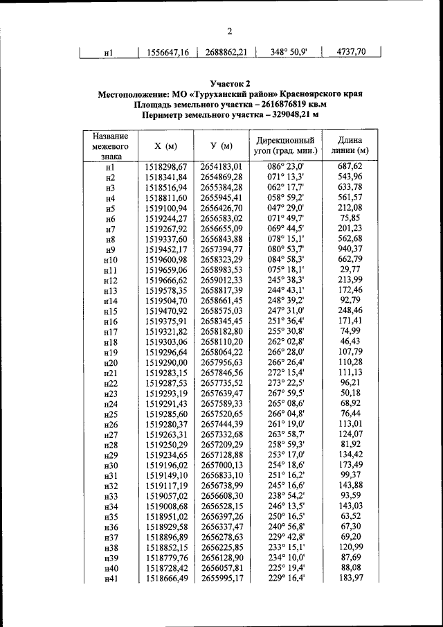
Приказ Министерства природных ресурсов и экологии Российской Федерации от 26.05.2017 № 260
"Об утверждении Положения о государственном природном биосферном заповеднике "Центральносибирскии"
(Зарегистрирован 21.06.2017 № 47094)
Номер опубликования: 0001201706220029
Дата опубликования: 22.06.2017
Страница №10 из 75:
Увеличить