Официальное опубликование правовых актов
ОФИЦИАЛЬНОЕ ОПУБЛИКОВАНИЕ
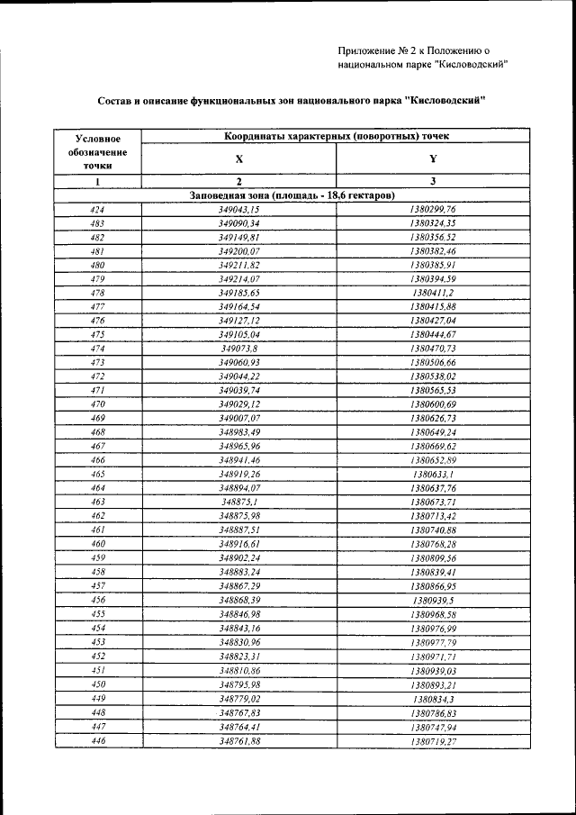
Приказ Министерства природных ресурсов и экологии Российской Федерации от 20.02.2017 № 67
"Об утверждении Положения о национальном парке "Кисловодский"
(Зарегистрирован 02.05.2017 № 46563)
Номер опубликования: 0001201705030027
Дата опубликования: 03.05.2017
Страница №40 из 146:
Увеличить