Официальное опубликование правовых актов
ОФИЦИАЛЬНОЕ ОПУБЛИКОВАНИЕ
Приказ Федерального архивного агентства от 09.01.2017 № 1
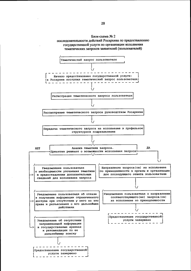
"Об утверждении Административного регламента по предоставлению Федеральным архивным агентством государственной услуги "Организация информационного обеспечения граждан, организаций и общественных объединений на основе документов Архивного фонда Российской Федерации и других архивных документов"
(Зарегистрирован 28.04.2017 № 46535)
Номер опубликования: 0001201705020024
Дата опубликования: 02.05.2017
Страница №28 из 60:
Увеличить