Официальное опубликование правовых актов
ОФИЦИАЛЬНОЕ ОПУБЛИКОВАНИЕ
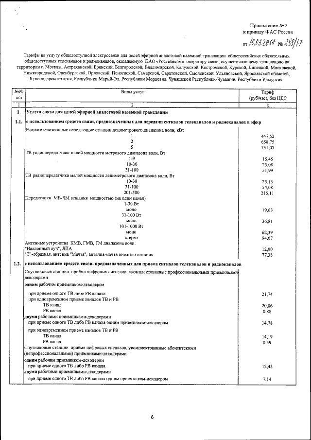
Приказ Федеральной антимонопольной службы от 10.03.2017 № 288/17
"Об утверждении тарифов на услуги общедоступной электросвязи для целей эфирного аналогового телевизионного и радиовещания, оказываемые ПАО "Ростелеком" оператору связи, осуществляющему трансляцию"
(Зарегистрирован 18.04.2017 № 46409)
Номер опубликования: 0001201704190001
Дата опубликования: 19.04.2017
Страница №6 из 12:
Увеличить