Официальное опубликование правовых актов
ОФИЦИАЛЬНОЕ ОПУБЛИКОВАНИЕ
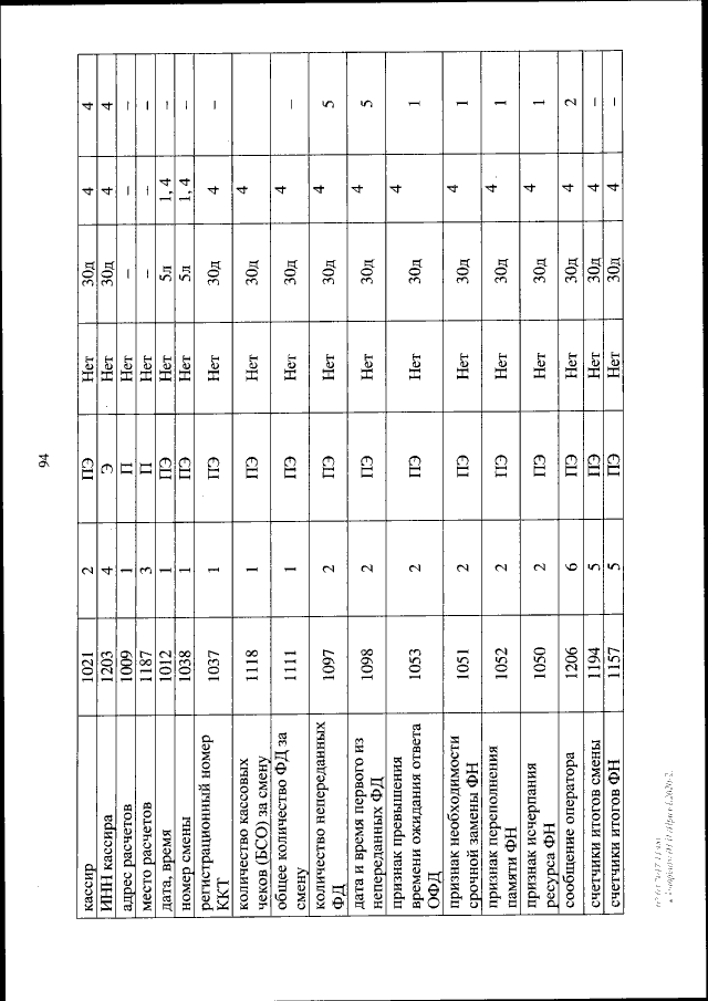
Приказ Федеральной налоговой службы от 21.03.2017 № ММВ-7-20/229@
"Об утверждении дополнительных реквизитов фискальных документов и форматов фискальных документов, обязательных к использованию"
(Зарегистрирован 13.04.2017 № 46361)
Номер опубликования: 0001201704140006
Дата опубликования: 14.04.2017
Страница №99 из 120:
Увеличить