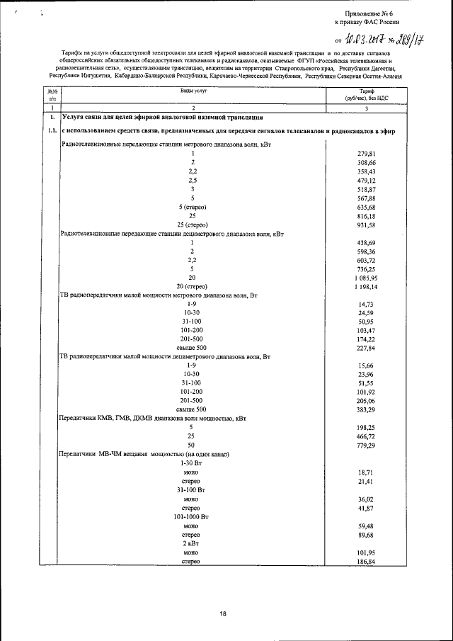
Приказ Федеральной антимонопольной службы от 10.03.2017 № 289/17
"Об утверждении тарифов на услуги общедоступной электросвязи для целей эфирного аналогового телевизионного вещания и радиовещания, оказываемые ФГУП "Российская телевизионная и радиовещательная сеть", осуществляющим трансляцию, вещателям"
(Зарегистрирован 12.04.2017 № 46346)
"Об утверждении тарифов на услуги общедоступной электросвязи для целей эфирного аналогового телевизионного вещания и радиовещания, оказываемые ФГУП "Российская телевизионная и радиовещательная сеть", осуществляющим трансляцию, вещателям"
(Зарегистрирован 12.04.2017 № 46346)
Номер опубликования: 0001201704130006
Дата опубликования:
13.04.2017
