Официальное опубликование правовых актов
ОФИЦИАЛЬНОЕ ОПУБЛИКОВАНИЕ
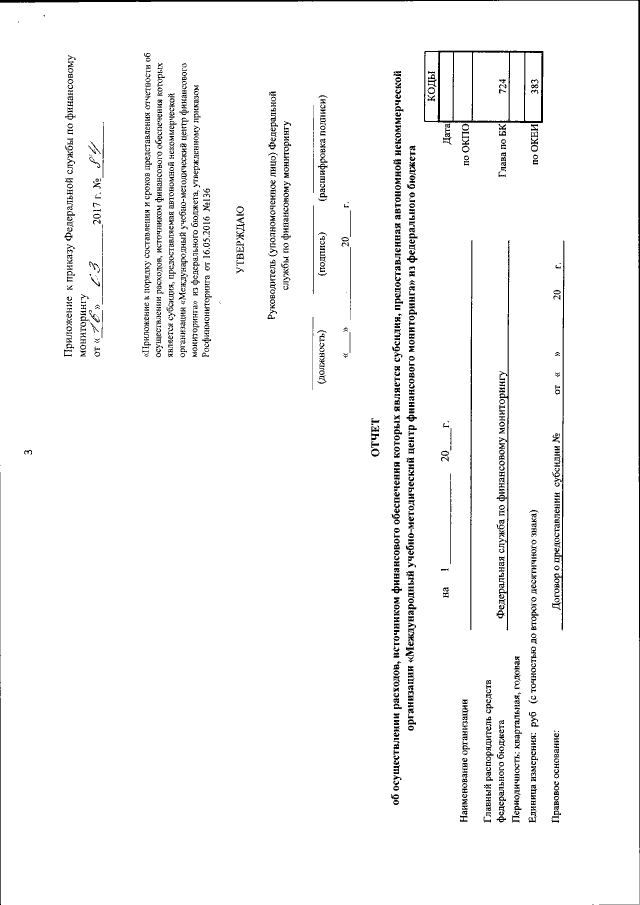
Приказ Федеральной службы по финансовому мониторингу от 16.03.2017 № 84
"О внесении изменений в порядок составления и сроков представления отчетности об осуществлении расходов, источником финансового обеспечения которых является субсидия, предоставленная автономной некоммерческой организации "Международный учебно-методический центр финансового мониторинга" из федерального бюджета, утвержденный приказом Федеральной службы по финансовому мониторингу от 16 мая 2016 г. № 136"
(Зарегистрирован 06.04.2017 № 46288)
Номер опубликования: 0001201704070011
Дата опубликования: 07.04.2017
Страница №3 из 7:
Увеличить