Официальное опубликование правовых актов
ОФИЦИАЛЬНОЕ ОПУБЛИКОВАНИЕ
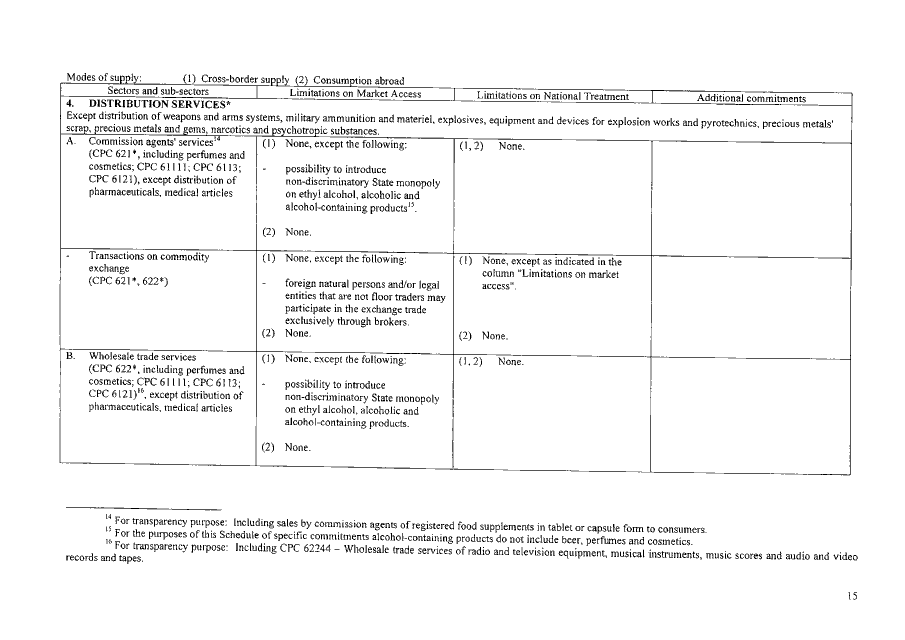
Протокол № 1 между Российской Федерацией и Социалистической Республикой Вьетнам к Соглашению о свободной торговле между Евразийским экономическим союзом и его государствами-членами, с одной стороны, и Социалистической Республикой Вьетнам, с другой стороны, от 29 мая 2015 года
(ратифицирован Федеральным законом от 01.05.2016 № 120-ФЗ, вступил в силу 5 октября 2016 года)
Номер опубликования: 0001201703230040
Дата опубликования: 23.03.2017
Страница №19 из 478:
Увеличить