Официальное опубликование правовых актов
ОФИЦИАЛЬНОЕ ОПУБЛИКОВАНИЕ
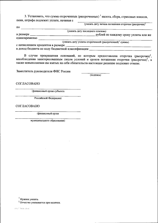
Приказ Федеральной налоговой службы от 16.12.2016 № ММВ-7-8/683@
"Об утверждении Порядка изменения срока уплаты налога, сбора, страховых взносов, а также пени и штрафа налоговыми органами"
(Зарегистрирован 20.02.2017 № 45707)
Номер опубликования: 0001201702210019
Дата опубликования: 21.02.2017
Страница №10 из 18:
Увеличить