Официальное опубликование правовых актов
ОФИЦИАЛЬНОЕ ОПУБЛИКОВАНИЕ
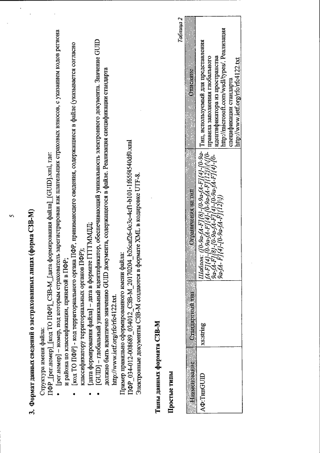
Постановление Правления Пенсионного фонда Российской Федерации от 07.12.2016 № 1077п
"Об утверждении формата сведений для ведения индивидуального (персонифицированного) учета (форма СЗВ-М)"
(Зарегистрирован 26.12.2016 № 44964)
Номер опубликования: 0001201612280010
Дата опубликования: 28.12.2016
Страница №5 из 14:
Увеличить