Официальное опубликование правовых актов
ОФИЦИАЛЬНОЕ ОПУБЛИКОВАНИЕ
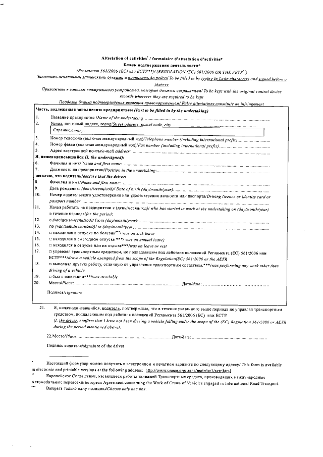
Европейское соглашение, касающееся работы экипажей транспортных средств, производящих международные автомобильные перевозки (ЕСТР) от 1 июля 1970 года (СССР присоединился к Соглашению с оговоркой и заявлением, вступило в силу для СССР 27 января 1979 года) с поправками
(вступили в силу, в том числе для СССР/Российской Федерации, 3 августа 1983 года, 24 апреля 1992 года, 28 февраля 1995 года, 27 февраля 2004 года, 16 июня 2006 года и 20 сентября 2010 года)
Номер опубликования: 0001201612230001
Дата опубликования: 23.12.2016
Страница №110 из 114:
Увеличить