Официальное опубликование правовых актов
ОФИЦИАЛЬНОЕ ОПУБЛИКОВАНИЕ
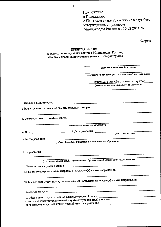
Приказ Министерства природных ресурсов и экологии Российской Федерации от 05.10.2016 № 510
"О внесении изменений в приложение № 11 к приказу Министерства природных ресурсов и экологии Российской Федерации от 16 февраля 2011 г. № 36 " Об учреждении ведомственных знаков отличия Министерства природных ресурсов и экологии Российской Федерации"
(Зарегистрирован 05.12.2016 № 44567)
Номер опубликования: 0001201612060043
Дата опубликования: 06.12.2016
Страница №6 из 8:
Увеличить