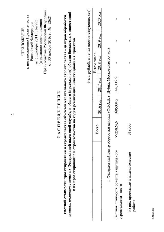
Постановление Правительства Российской Федерации от 30.11.2016 № 1262
"О внесении изменений в постановление Правительства Российской Федерации от 5 декабря 2011 г. № 995"
"О внесении изменений в постановление Правительства Российской Федерации от 5 декабря 2011 г. № 995"
Номер опубликования: 0001201612020011
Дата опубликования:
02.12.2016
