Официальное опубликование правовых актов
ОФИЦИАЛЬНОЕ ОПУБЛИКОВАНИЕ
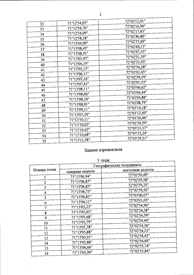
Приказ Министерства транспорта Российской Федерации от 27.10.2016 № 304
"Об открытии воздушного грузо-пассажирского работающего на нерегулярной основе многостороннего пункта пропуска через государственную границу Российской Федерации в международном аэропорту Сабетта (Ямало-Ненецкий автономный округ)"
(Зарегистрирован 21.11.2016 № 44380)
Номер опубликования: 0001201611220008
Дата опубликования: 22.11.2016
Страница №3 из 4:
Увеличить