Официальное опубликование правовых актов
ОФИЦИАЛЬНОЕ ОПУБЛИКОВАНИЕ
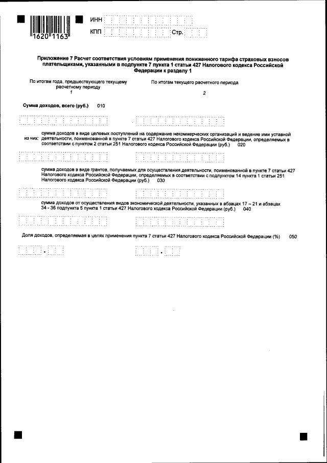
Приказ Федеральной налоговой службы от 10.10.2016 № ММВ-7-11/551@
"Об утверждении формы расчета по страховым взносам, порядка его заполнения, а также формата представления расчета по страховым взносам в электронной форме"
(Зарегистрирован 26.10.2016 № 44141)
Номер опубликования: 0001201610270020
Дата опубликования: 27.10.2016
Страница №17 из 157:
Увеличить