Официальное опубликование правовых актов
ОФИЦИАЛЬНОЕ ОПУБЛИКОВАНИЕ
Приказ Министерства транспорта Российской Федерации от 01.09.2016 № 260
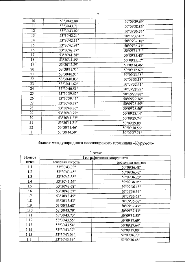
"Об открытии воздушного грузо-пассажирского постоянного многостороннего пункта пропуска через государственную границу Российской Федерации в международном аэропорту Самара (Курумоч) (Самарская область)"
(Зарегистрирован 12.09.2016 № 43638)
Номер опубликования: 0001201609130049
Дата опубликования: 13.09.2016
Страница №9 из 26:
Увеличить