Официальное опубликование правовых актов
ОФИЦИАЛЬНОЕ ОПУБЛИКОВАНИЕ
Приказ Министерства транспорта Российской Федерации от 25.05.2016 № 130
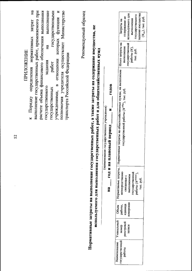
"Об утверждении Порядка определения нормативных затрат на выполнение государственных работ, применяемого при расчете объема финансового обеспечения выполнения государственного задания на выполнение государственных работ государственными учреждениями, в отношении которых функции и полномочия учредителя осуществляет Министерство транспорта Российской Федерации"
(Зарегистрирован 01.08.2016 № 43053)
Номер опубликования: 0001201608020028
Дата опубликования: 02.08.2016
Страница №14 из 16:
Увеличить