Официальное опубликование правовых актов
ОФИЦИАЛЬНОЕ ОПУБЛИКОВАНИЕ
Приказ Министерства природных ресурсов и экологии Российской Федерации от 29.06.2016 № 376
"Об утверждении Положения о национальном парке "Валдайский"
(Зарегистрирован 22.07.2016 № 42963)
Номер опубликования: 0001201607260019
Дата опубликования: 26.07.2016
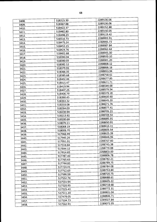
Страница №87 из 1322:
Увеличить