Официальное опубликование правовых актов
ОФИЦИАЛЬНОЕ ОПУБЛИКОВАНИЕ
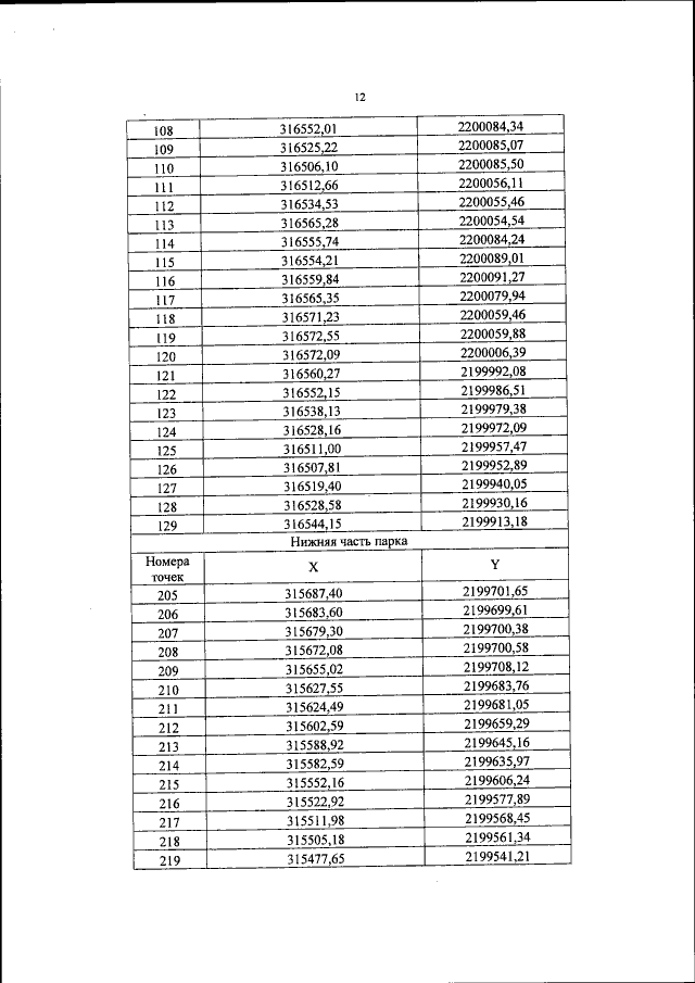
Приказ Министерства природных ресурсов и экологии Российской Федерации от 25.04.2016 № 261
"Об утверждении Положения о дендрологическом парке федерального значения "Дендрарий"
(Зарегистрирован 06.07.2016 № 42767)
Номер опубликования: 0001201607070045
Дата опубликования: 07.07.2016
Страница №13 из 16:
Увеличить