Официальное опубликование правовых актов
ОФИЦИАЛЬНОЕ ОПУБЛИКОВАНИЕ
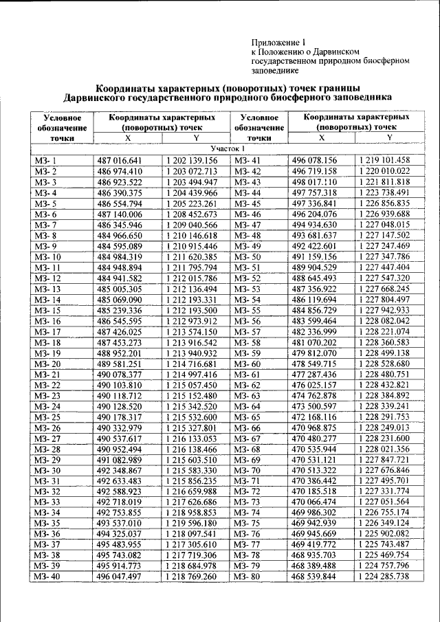
Приказ Министерства природных ресурсов и экологии Российской Федерации от 24.03.2016 № 95
"Об утверждении Положения о Дарвинском государственном природном биосферном заповеднике"
(Зарегистрирован 21.06.2016 № 42586)
Номер опубликования: 0001201606230003
Дата опубликования: 23.06.2016
Страница №9 из 22:
Увеличить