Официальное опубликование правовых актов
ОФИЦИАЛЬНОЕ ОПУБЛИКОВАНИЕ
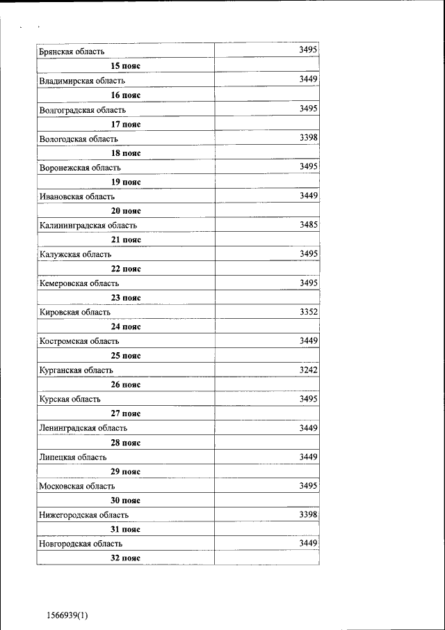
Приказ Федеральной антимонопольной службы от 28.04.2016 № 554/16
"Об утверждении оптовых цен на газ, добываемый ПАО "Газпром" и его аффилированными лицами, предназначенный для последующей реализации населению"
(Зарегистрирован 25.05.2016 № 42270)
Номер опубликования: 0001201605270042
Дата опубликования: 27.05.2016
Страница №4 из 7:
Увеличить