Официальное опубликование правовых актов
ОФИЦИАЛЬНОЕ ОПУБЛИКОВАНИЕ
Приказ Министерства природных ресурсов и экологии Российской Федерации от 18.03.2016 № 81
"Об утверждении Положения о государственном природном заказнике федерального значения "Позарым"
(Зарегистрирован 21.04.2016 № 41898)
Номер опубликования: 0001201604260010
Дата опубликования: 26.04.2016
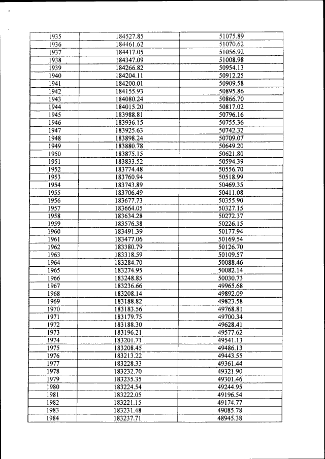
Страница №47 из 56:
Увеличить