Официальное опубликование правовых актов
ОФИЦИАЛЬНОЕ ОПУБЛИКОВАНИЕ
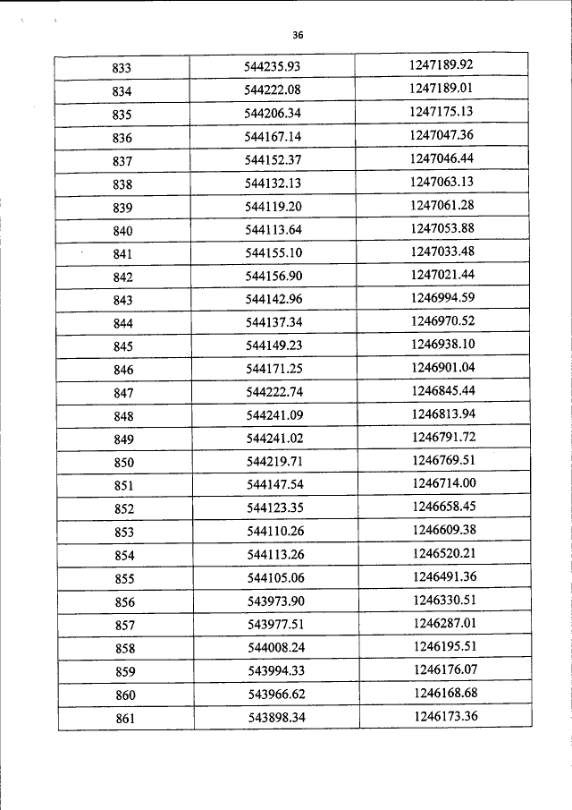
Приказ Министерства природных ресурсов и экологии Российской Федерации от 02.03.2016 № 62
"Об утверждении Положения о государственном природном заказнике федерального значения "Ремдовский"
(Зарегистрирован 25.03.2016 № 41546)
Номер опубликования: 0001201603290038
Дата опубликования: 29.03.2016
Страница №37 из 50:
Увеличить