Официальное опубликование правовых актов
ОФИЦИАЛЬНОЕ ОПУБЛИКОВАНИЕ
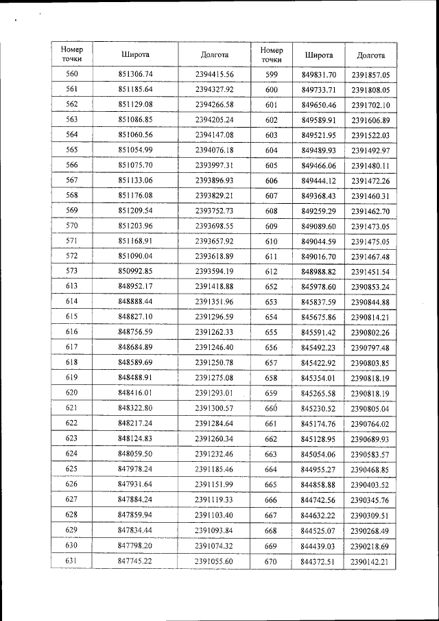
Приказ Министерства природных ресурсов и экологии Российской Федерации от 03.02.2016 № 25
"Об утверждении Положения о государственном природном заповеднике "Вишерский"
(Зарегистрирован 29.02.2016 № 41238)
Номер опубликования: 0001201603020076
Дата опубликования: 02.03.2016
Страница №18 из 28:
Увеличить