Официальное опубликование правовых актов
ОФИЦИАЛЬНОЕ ОПУБЛИКОВАНИЕ
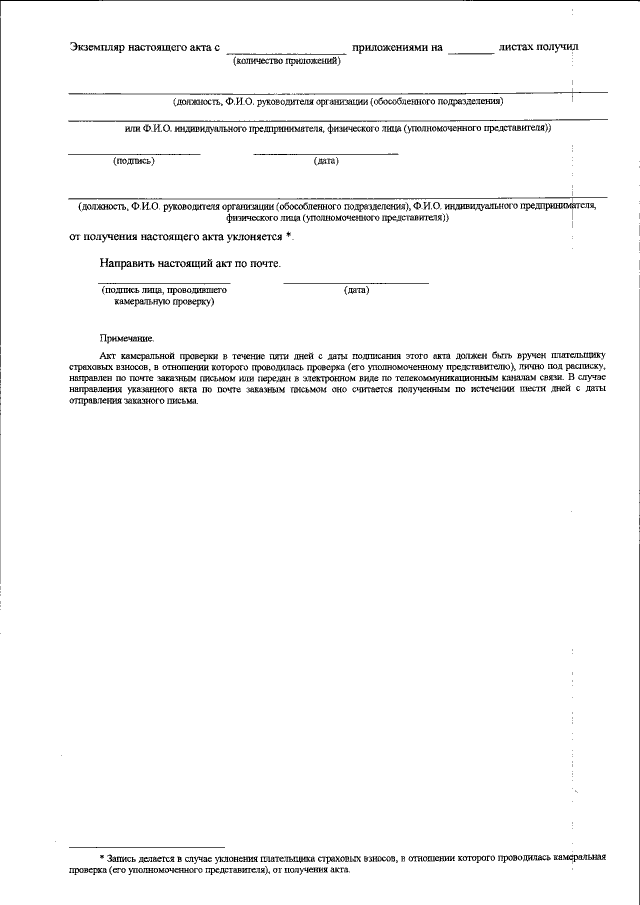
Приказ Фонда социального страхования Российской Федерации от 11.01.2016 № 2
"Об утверждении форм документов, применяемых при осуществлении контроля за уплатой страховых взносов"
(Зарегистрирован 18.02.2016 № 41133)
Номер опубликования: 0001201602240011
Дата опубликования: 24.02.2016
Страница №36 из 54:
Увеличить