Официальное опубликование правовых актов
ОФИЦИАЛЬНОЕ ОПУБЛИКОВАНИЕ
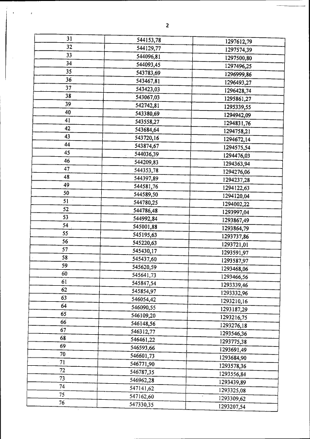
Приказ Министерства природных ресурсов и экологии Российской Федерации от 18.11.2015 № 485
"О внесении изменений в Положение о государственном природном заказнике федерального значения "Приазовский", утвержденное приказом Минприроды России от 10.06.2010 № 201"
(Зарегистрирован 16.02.2016 № 41104)
Номер опубликования: 0001201602180013
Дата опубликования: 18.02.2016
Страница №4 из 45:
Увеличить