Официальное опубликование правовых актов
ОФИЦИАЛЬНОЕ ОПУБЛИКОВАНИЕ
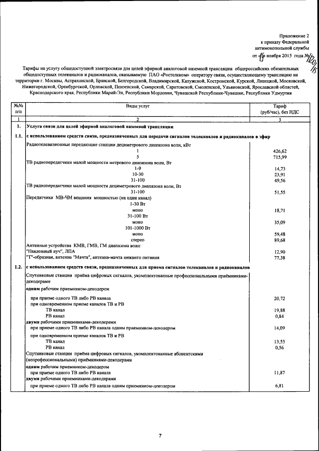
Приказ Федеральной антимонопольной службы от 19.11.2015 № 1120/15
"Об утверждении тарифов на услуги общедоступной электросвязи для целей эфирного аналогового телевизионного и радиовещания, оказываемые ПАО "Ростелеком" оператору связи, осуществляющему трансляцию"
(Зарегистрирован 15.12.2015 № 40105)
Номер опубликования: 0001201512180012
Дата опубликования: 18.12.2015
Страница №7 из 13:
Увеличить