Официальное опубликование правовых актов
ОФИЦИАЛЬНОЕ ОПУБЛИКОВАНИЕ
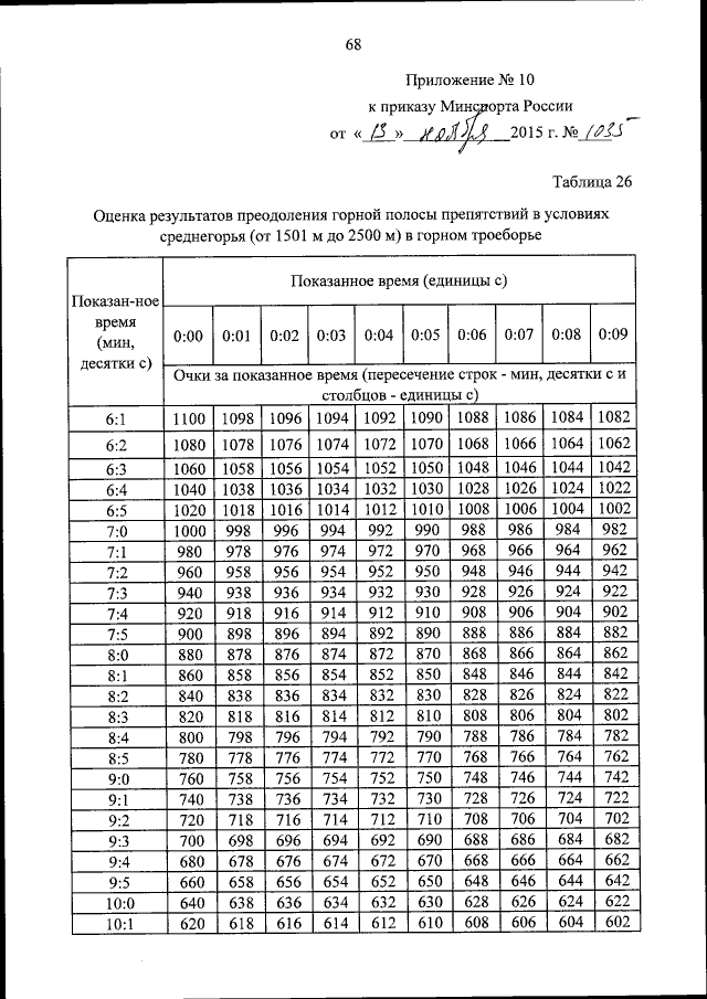
Приказ Министерства спорта Российской Федерации от 13.11.2015 № 1035
"О внесении изменений в Единую всероссийскую спортивную классификацию"
(Зарегистрирован 09.12.2015 № 40045)
Номер опубликования: 0001201512140033
Дата опубликования: 14.12.2015
Страница №68 из 123:
Увеличить