Официальное опубликование правовых актов
ОФИЦИАЛЬНОЕ ОПУБЛИКОВАНИЕ
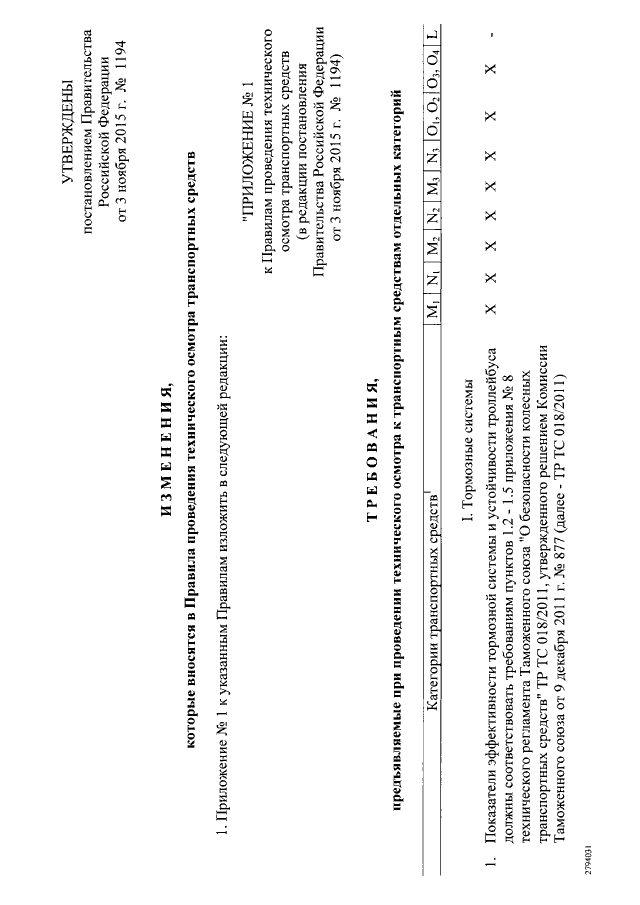
Постановление Правительства Российской Федерации от 03.11.2015 № 1194
"О внесении изменений в Правила проведения технического осмотра транспортных средств"
Номер опубликования: 0001201511100006
Дата опубликования: 10.11.2015
Страница №2 из 19:
Увеличить