Официальное опубликование правовых актов
ОФИЦИАЛЬНОЕ ОПУБЛИКОВАНИЕ
Приказ Министерства транспорта Российской Федерации от 16.09.2015 № 274
"Об утверждении маршрутов обслуживания воздушного движения"
(Зарегистрирован 09.10.2015 № 39281)
Номер опубликования: 0001201510150002
Дата опубликования: 15.10.2015
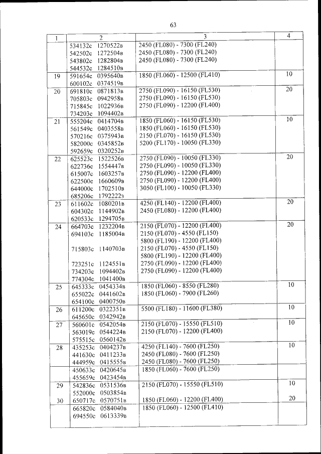
Страница №65 из 133:
Увеличить