Официальное опубликование правовых актов
ОФИЦИАЛЬНОЕ ОПУБЛИКОВАНИЕ
Приказ Федерального агентства по обустройству государственной границы Российской Федерации от 16.09.2015 № 226-ОД
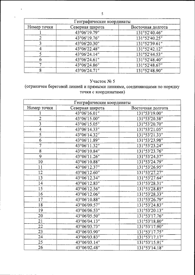
"Об утверждении пределов морского грузо-пассажирского постоянного многостороннего пункта пропуска через государственную границу Российской Федерации в морском порту Владивосток"
(Зарегистрирован 29.09.2015 № 39055)
Номер опубликования: 0001201510020035
Дата опубликования: 02.10.2015
Страница №6 из 19:
Увеличить