Официальное опубликование правовых актов
ОФИЦИАЛЬНОЕ ОПУБЛИКОВАНИЕ
Приказ Министерства природных ресурсов и экологии Российской Федерации от 06.08.2015 № 346
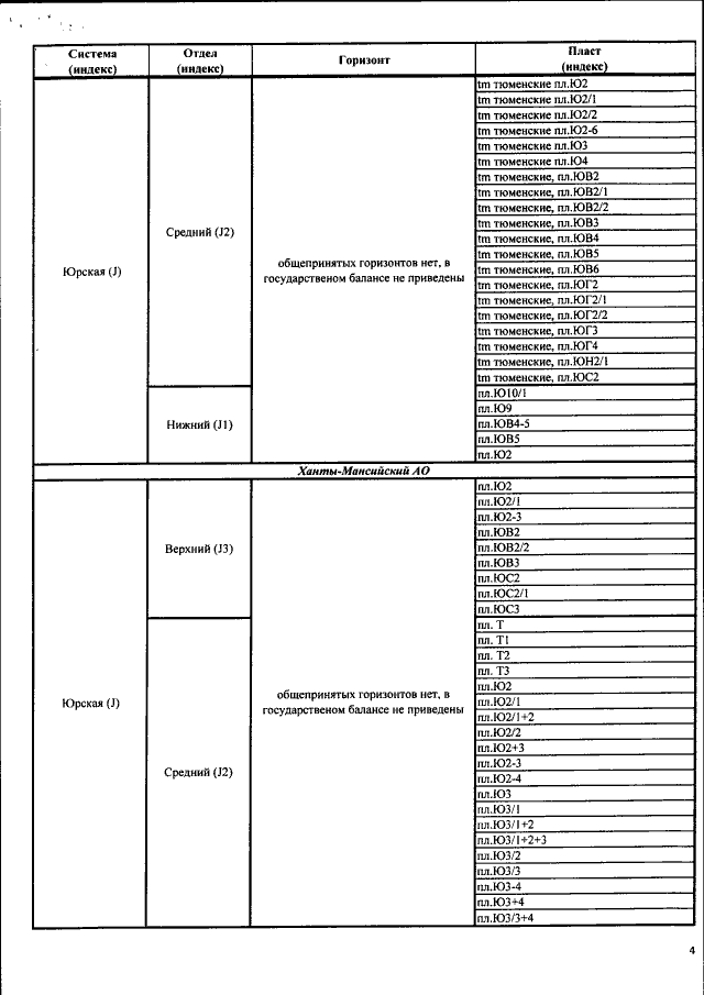
"Об утверждении стратиграфических характеристик (система, отдел, горизонт, пласт) залежей углеводородного сырья для целей их отнесения к баженовским, абалакским, хадумским, доманиковым продуктивным отложениям, а также продуктивным отложениям тюменской свиты в соответствии с данными государственного баланса запасов полезных ископаемых"
(Зарегистрирован 09.09.2015 № 38837)
Номер опубликования: 0001201509110011
Дата опубликования: 11.09.2015
Страница №5 из 9:
Увеличить