Официальное опубликование правовых актов
ОФИЦИАЛЬНОЕ ОПУБЛИКОВАНИЕ
Приказ Федерального агентства по обустройству государственной границы Российской Федерации от 10.08.2015 № 190-ОД
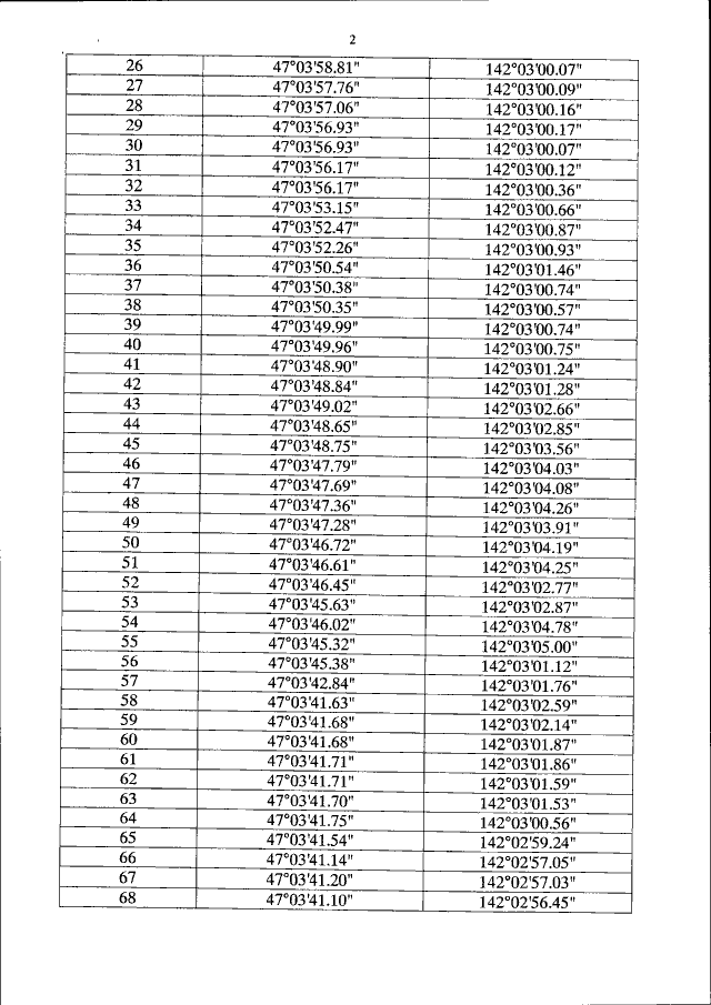
"Об утверждении пределов морского грузо-пассажирского постоянного многостороннего пункта пропуска через государственную границу Российской Федерации в морском порту Холмск (Сахалинская область)"
(Зарегистрирован 02.09.2015 № 38778)
Номер опубликования: 0001201509070007
Дата опубликования: 07.09.2015
Страница №3 из 9:
Увеличить