Официальное опубликование правовых актов
ОФИЦИАЛЬНОЕ ОПУБЛИКОВАНИЕ
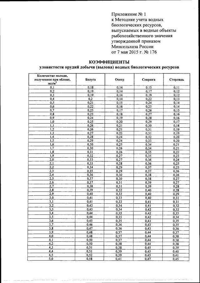
Приказ Министерства сельского хозяйства Российской Федерации от 07.05.2015 № 176
"Об утверждении Методики учета водных биологических ресурсов, выпускаемых в водные объекты рыбохозяйственного значения"
(Зарегистрирован 22.07.2015 № 38152)
Номер опубликования: 0001201507270028
Дата опубликования: 27.07.2015
Страница №17 из 18:
Увеличить